PLC Touching Screen Single Station Rotary Spray Cleaning Equipment

Customization: Available
Type: High Pressure Cleaner
Application: Industrial

Product Description

📊 Basic Information
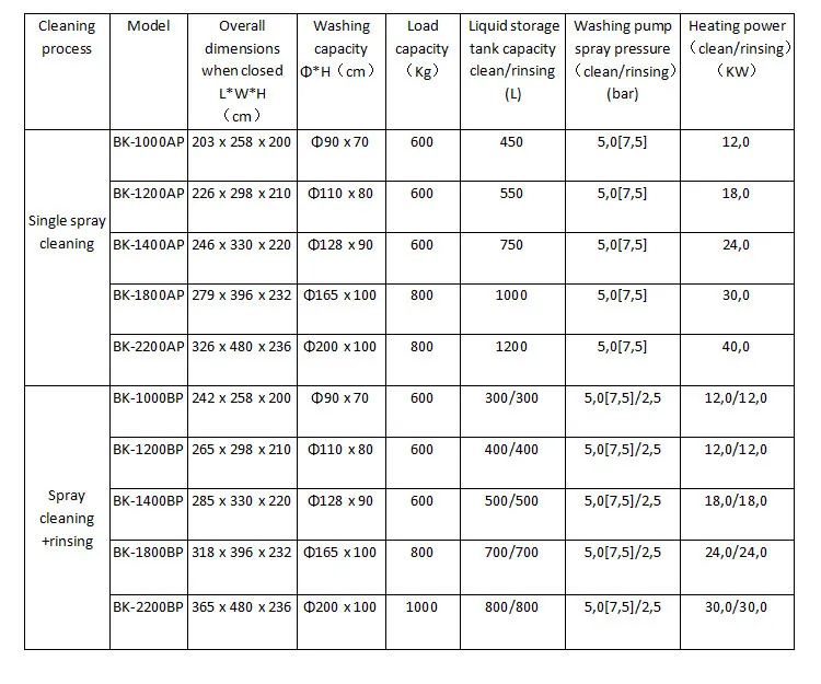
Model NO.
BK-1400BP
Condition
New
Certification
CE, ISO 9001
Customized
Available
Tank Size
285*330*220
Heating Power
18kw
Voltage
220V/380V/415V/440V Optional
Machine Type
Industrial Vacuum Cleaner
Fuel
Electric
Cleaning Process
Hot Water Cleaning
Timer/Temp
Digital Display
Load Capacity
600kg
⚙️ Product Description
Single Station Rotary Spray Cleaning Equipment
Basic principle:
The single station rotary spray cleaner adopts the principle of high pressure water jet-flowing, combined with a rotary tooling basket. It utilizes PLC touch screen controlling for high automation. The lid features automatic opening and closing, providing 360° all-directions cleaning. The entire cleaning process is completed automatically, designed with practicality, ergonomics, and aesthetics in mind based on long-term industrial experience.
Heating power12KW
AccessoriesLid, Inlet valve, Drain valve
FunctionBasket rotary or Spray pipeline rotary
Voltage/Power Supply220v/380v/415v/440v optional
MaterialStainless steel 304
ApplicationsCarbon clean; Oil, grease, fouls clean; Cutting liquids, metal particles, dirties clean
Timer/TemperatureDigital display
Loading weight(kg)100
Liquid storage capacity400L
AdvantagesHigh efficiency; High reliability; No damage to parts; Environment protective
Optional functionRinsing, Air cut, Condensing and Drying; Loading trolley; Automatic lid flapping
🖼️ Equipment Showcase
Frequently Asked Questions
What is the main cleaning principle of this machine?
The machine uses high-pressure water jet-flowing combined with a 360° rotary basket to ensure thorough cleaning from all directions.
What types of contaminants can this equipment remove?
It is highly effective at removing carbon, oil, grease, fouls, cutting liquids, metal particles, and various industrial dirties.
Is the operation of the machine automated?
Yes, it features a PLC touch screen control system and an automatic lid opening/closing mechanism for a fully automated cleaning process.
What materials are used in the construction of the cleaner?
The machine is constructed using high-quality Stainless Steel 304, ensuring durability and resistance to corrosion.
Can the voltage be customized for different regions?
Yes, we offer optional voltage configurations including 220V, 380V, 415V, and 440V to meet international power supply standards.
Are there any optional functions available?
Optional functions include rinsing, air cut, condensing and drying systems, loading trolleys, and automatic lid flapping for enhanced performance.

Related Products