1 / 5
Basic principle: Our single station rotary spray cleaner adopts the principle of high-pressure water jet-flowing, combined with a rotary tooling basket. It utilizes PLC touch screen controlling for high automation. The lid features automatic opening and closing, facilitating 360° all-directions cleaning. The entire cleaning process is automatically completed. Our product design prioritizes practicality, ergonomics, and aesthetics, built upon long-term industry experience.
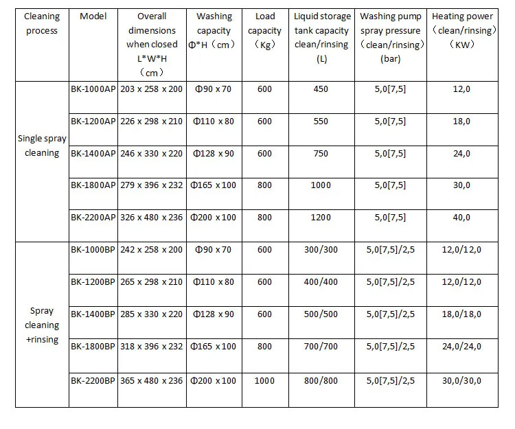
| Heating power | 12KW |
| Accessories | Lid, Inlet valve, Drain valve |
| Function | Basket rotary; or Spray pipeline rotary |
| Voltage/Power Supply | 220v/380v/415v/440v optional |
| Material | Stainless steel 304 |
| Applications | Carbon clean; Oil, grease, fouls clean; Cutting liquids, metal particles, dirties clean |
| Timer/Temperature | Digital display |
| Liquid storage tank | 300L |
| Advantages | High efficiency; High reliability; No damage to parts; Environment protective |
| Optional function | Rinsing, Air cut, Condensing and Drying; Loading trolley |




